Theo Báo Lao Động, Cảnh sát giao thông, Công an tỉnh Bắc Ninh thông báo từ ngày 7/2 đến ngày 13/2, cảnh sát giao thông phạt nguội các trường hợp. Trong đó 233 chủ xe máy bị phạt lỗi vượt đèn đỏ như sau:
Công an Thanh Hoá cũng cho biết, kết quả phát hiện phương tiện vi phạm về trật tự an toàn giao thông qua hệ thống camera giám sát an ninh trật tự, an toàn giao thông từ ngày 12/2/2026 đến ngày 15/2/2026. Trong số này 52 chủ xe máy bị phạt nguội nhiều lỗi theo Nghị định 168, trong đó có lỗi điều khiển xe máy dùng tay sử dụng điện thoại như sau:
Trong thời gian từ ngày 12/2 - 25/2, thông qua hệ thống camera, lực lượng chức năng phát hiện 90 trường hợp vi phạm giao thông, bị phạt nguội.
Theo thông báo từ Công an tỉnh Cao Bằng, có nhiều trường hợp điều khiển xe ôtô và mô tô, xe máy điện vi phạm các lỗi như chạy quá tốc độ quy định, bị phát hiện tại Km2+980, đường Võ Nguyên Giáp và vượt đèn đỏ tại ngã tư Hoàng Đình Giong - Bế Văn Đàn...
Danh sách các phương tiện vi phạm, bị phạt nguội như sau:
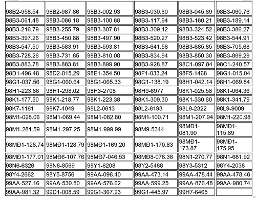
Phòng Cảnh sát giao thông, Công an tỉnh Hưng Yên, từ ngày 23/2 đến ngày 1/3 qua khai thác hệ thống camera giám sát và sử dụng thiết bị nghiệp vụ, lực lượng cảnh sát giao thông đã ghi nhận nhiều phương tiện vi phạm lỗi quay đầu xe tại nơi có biển báo hiệu có nội dung cấm quay đầu như sau:
Tổng hợp
Huỳnh Duy
