Theo đó, cấu trúc đề thi gồm 3 phần.
Phần 1: Sử dụng ngôn ngữ (60 câu); Tiếng Việt: 30 câu; Tiếng Anh: 30 câu;
Phần 2: Toán học (30 câu);
Phần 3: Tư duy khoa học (30 câu); Logic, phân tích số liệu: 12 câu; Suy luận khoa học: 18 câu.
Với 150 phút cho 120 câu hỏi, thí sinh có trung bình khoảng 1,25 phút/câu, do đó việc quản lý thời gian đóng vai trò then chốt. Thí sinh nên ưu tiên làm các câu dễ, quen thuộc để tối đa hóa điểm số và tạo tâm lý tự tin. Với những câu khó hoặc bài đọc dài tốn nhiều thời gian, nên tạm bỏ qua, đánh dấu để quay lại nếu còn thời gian. Khả năng phân bổ thời gian hợp lý giúp thí sinh tránh sa đà vào câu hỏi khó và hoàn thành toàn bộ bài thi đúng thời gian quy định.
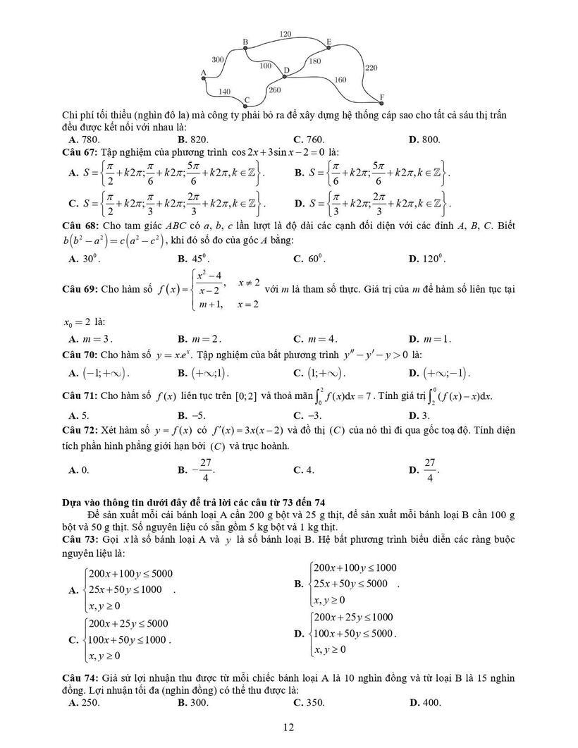
Đề thi mẫu bài thi đánh giá năng lực 2026:
Theo khuyến nghị của Đại học Quốc gia TP.HCM, quản lý thời gian là yếu tố then chốt quyết định hiệu quả làm bài. Thí sinh nên ưu tiên giải quyết các câu hỏi dễ, quen thuộc trước nhằm tối đa hóa điểm số và tạo tâm lý tự tin.
Với những câu hỏi khó hoặc bài đọc dài, nếu mất quá nhiều thời gian, thí sinh nên tạm thời bỏ qua, đánh dấu để quay lại sau khi đã hoàn thành các câu còn lại.
Bên cạnh đó, kỹ năng xử lý câu hỏi cũng đóng vai trò quan trọng. Thí sinh cần đọc kỹ yêu cầu đề bài và các phương án trả lời để tránh bỏ sót chi tiết.
Trong đó, với dạng câu hỏi đọc hiểu, thí sinh có thể áp dụng chiến lược xác định từ khóa trong câu hỏi, đối chiếu với nội dung bài đọc, loại trừ các phương án sai rõ ràng và so sánh các đáp án còn lại để lựa chọn phương án phù hợp nhất.
Việc phân bổ thời gian hợp lý kết hợp với kỹ năng làm bài hiệu quả sẽ giúp thí sinh hoàn thành toàn bộ đề thi trong thời gian quy định và nâng cao khả năng đạt kết quả tốt.
Năm 2026, Đại học Quốc gia TP.HCM sẽ tiếp tục tổ chức kỳ thi đánh giá năng lực với hai đợt thi, mở rộng quy mô tại nhiều tỉnh, thành phố trên cả nước nhằm tạo thuận lợi cho thí sinh và đáp ứng nhu cầu xét tuyển của các cơ sở giáo dục đại học.
Cụ thể, đợt 1 sẽ mở đăng ký từ ngày 24/1 đến hết 23/2/2026. Kỳ thi được tổ chức vào sáng 5/4/2026 tại 55 đơn vị thuộc 15 tỉnh, thành phố sau sáp nhập, gồm: Huế, Đà Nẵng, Quảng Ngãi, Gia Lai, Đắk Lắk, Khánh Hòa, Lâm Đồng, TP.HCM, Đồng Nai, Tây Ninh, Đồng Tháp, Vĩnh Long, An Giang, Cần Thơ và Cà Mau. Kết quả dự kiến công bố ngày 17/4/2026.
Đợt 2 bắt đầu đăng ký từ ngày 18/4 đến hết 25/4/2026, kỳ thi diễn ra ngày 24/5/2026 tại 36 đơn vị thuộc 9 tỉnh, thành phố gồm: Huế, Gia Lai, Đắk Lắk, Khánh Hòa, Lâm Đồng, TP.HCM, Đồng Nai, Đồng Tháp và An Giang. Kết quả đợt 2 dự kiến được công bố vào ngày 6/6/2026.
