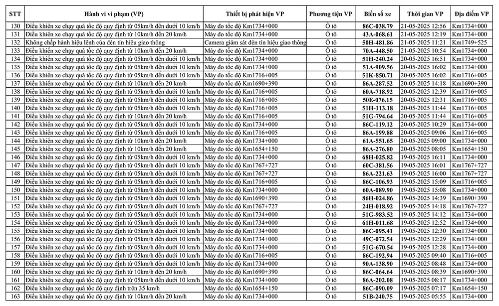
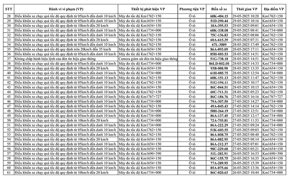
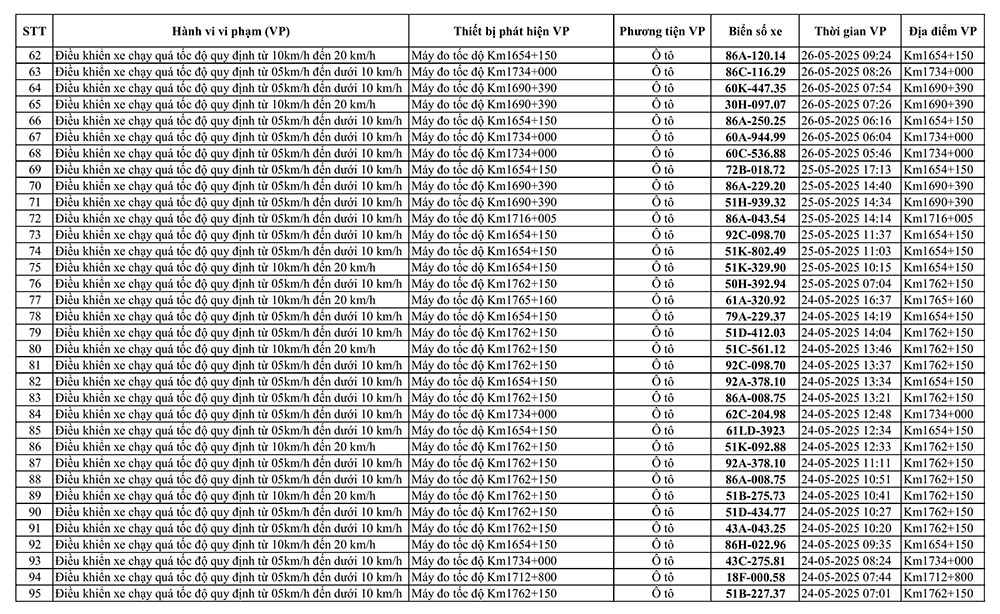
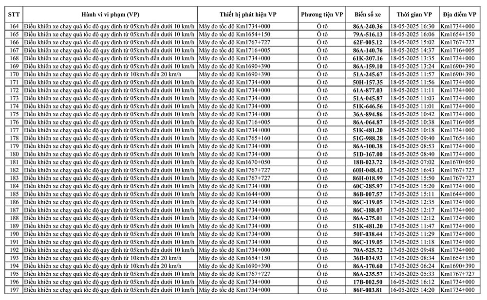
Công an tỉnh Bình Thuận mới đây đã thông báo danh sách các phương tiện vi phạm về TTATGT đường bộ. Theo đó, từ ngày 14/5/2025 đến ngày 31/5/2025 máy đo tốc độ ghi nhận có 222 lượt vi phạm chạy quá tốc độ và camera giám sát đèn tín hiệu giao thông ghi nhận 4 lượt vi phạm không chấp hành hiệu lệnh của đèn tín hiệu giao thông.
Phòng CSGT Công an tỉnh Bình Thuận yêu cầu chủ phương tiện, tổ chức, cá nhân có liên quan đến vi phạm hành chính đến các điểm tiếp dân của Phòng CSGT Công an tỉnh Bình Thuận hoặc trụ sở Phòng CSGT Công an tỉnh (nơi cư trú) để giải quyết vụ việc.
Quá thời hạn 20 ngày, kể từ ngày gửi thông báo vi phạm, chủ phương tiện, tổ chức, cá nhân có liên quan đến vi phạm hành chính không đến giải quyết hoặc Phòng CSGT Công an tỉnh Bình Thuận chưa nhận được thông báo kết quả giải quyết, xử lý vụ việc của Phòng CSGT Công an tỉnh (nơi cư trú) sẽ tiến hành gửi thông báo cảnh báo phương tiện giao thông vi phạm cho cơ quan đăng kiểm.
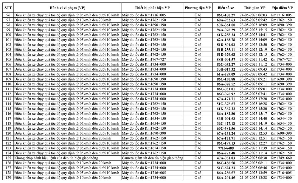
Danh sách phạt nguội chi tiết như sau:
Mức phạt lỗi vượt quá tốc độ theo Nghị định 168
Từ 1/1/2025, Nghị định 168 quy định xử phạt vi phạm hành chính về trật tự, an toàn giao thông trong lĩnh vực giao thông đường bộ; trừ điểm, phục hồi điểm giấy phép lái xe (GPLX) có hiệu lực thi hành. Theo đó, lỗi quá tốc độ cũng như một số hành vi vi phạm trước đây bị tước GPLX, nhưng theo Nghị định 168 thì chỉ bị trừ điểm.
Cụ thể, mức phạt quá tốc độ với xe ô tô như sau:
Quá tốc độ quy định từ 5 km/giờ - dưới 10 km/giờ: phạt tiền từ 800.000 đồng - 1.000.000 đồng.
Quá tốc độ từ 10 - 20 km/giờ: phạt tiền từ 4 - 6 triệu đồng, trừ 2 điểm GPLX.
Quá tốc độ quy định trên 20 - 35 km/giờ: tiền từ 6 - 8 triệu đồng, trừ 4 điểm GPLX.
Quá tốc độ quy định trên 35 km/giờ: phạt tiền từ 12 - 14 triệu đồng, trừ 6 điểm GPLX.
Mức phạt chạy quá tốc độ với xe máy như sau:
Quá tốc độ quy định từ 5 km/giờ - dưới 10 km/giờ: phạt tiền từ 400.000 - 600.000 đồng.
Quá tốc độ từ 10 - 20 km/giờ thì phạt tiền từ 800.000 - 1.000.000 đồng.
Quá tốc độ quy định trên 20 km/giờ phạt tiền từ 6 - 8 triệu đồng, trừ 4 điểm GPLX.
Trang Anh
