Các trường hợp chủ xe máy, ô tô biển Hà Nội bị phạt nguội
Tại Bắc Ninh, ngày 14/9, Phòng Cảnh sát Giao thông, Công an tỉnh đã công bố hơn 500 trường hợp phương tiện vi phạm trật tự, an toàn giao thông trong tuần 5/9 - 11/9. Trong đó, lực lượng chức năng phát hiện 93 trường hợp xe vi phạm mang biển kiểm soát Hà Nội.
Danh sách cụ thể như sau:
6 trường hợp xe ô tô không chấp hành hiệu lệnh của đèn tín hiệu giao thông: 30E-747.12; 29D-591.38; 29H-513.40; 31H-0120; 29A-156.11; 30A-423.72.
3 trường hợp xe ô tô rẽ trái tại nơi có biển cấm rẽ trái: 30G-583.79; 30L-1186; 29E-220.26.
19 trường hợp xe ô tô không chấp hành hiệu lệnh, chỉ dẫn của vạch kẻ đường: 29C-913.73; 31F-6077; 30M-464.15; 29K-244.05; 29B-302.61; 29H-094.84; 29E-353.75; 30V-2666; 29A-198.05; 29K-040.86; 30A-137.05; 29C-105.10; 29B-158.26; 30A-572.39; 30L-839.62; 29F-051.97; 30F-105.11; 30E-186.41; 29E-034.85.
49 trường hợp xe ô tô điều khiển xe chạy quá tốc độ quy định: 29A-008.48; 29A-949.67; 29B-034.10; 29D-303.33; 29K-013.57; 30A-754.61; 30E-406.27; 30E-417.05; 30F-009.64; 30K-369.66; 30M-0810; 29A-041.56; 29A-429.58; 29D-214.24; 29E-020.38; 29H-124.85; 29H-603.98; 29K-038.98; 29K-080.62; 29K-085.83; 30A-082.56; 30A-355.04; 30A-656.98; 30A-976.74; 30B-555.77; 30E-204.74; 30E-285.43; 30E-356.76;
30F–78728; 30F-876.28; 30G-145.38; 30G-299.83; 30G-802.67; 30H-893.51; 30K-589.58; 30K-6091; 30K-718.22; 30K-789.04; 30K-796.21; 30K-977.89; 30L-910.08; 29D-103.63; 29E-227.87; 29K-152.16; 30F-121.17; 30F-257.05; 30G-926.10; 30K-253.11; 30K-568.18.
14 trường hợp xe mô tô không chấp hành hiệu lệnh của đèn tín hiệu giao thông: 29D2-167.73; 29D1-583.60; 29N1-486.07; 29E2-113.63; 29B1-690.46; 29L5-146.40; 29R5-9540; 29N3-1973; 29V7-237.41; 29N5-6351; 29E1-239.68; 29H9-3690; 29X2-091.47; 29S1-7119.
2 trường hợp xe mô tô 29B1-690.46; 29Y3-011.02 không đội mũ bảo hiểm.
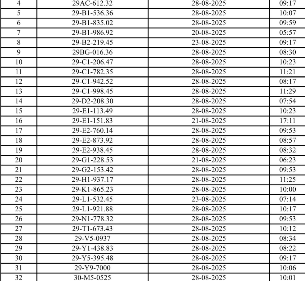
Tại Hà Nội, ngày 8/9, Công an TP. Hà Nội cho biết, Phòng Cảnh sát Giao thông đã phát hiện, ghi hình các trường hợp xe ô tô và mô tô vi phạm trong tháng 8. Trong tổng số 131 trường hợp, lực lượng chức năng ghi nhận 94 trường hợp xe có biển kiểm soát Hà Nội.
Danh sách như sau:
Đối với người dân cư trú trên địa bàn Hà Nội có thể đến 14 địa điểm tiếp nhận, giải quyết kết quả thu thập được bằng phương tiện, thiết bị nghiệp vụ (phạt nguội) của Phòng Cảnh sát giao thông để giải quyết vụ việc vi phạm hành chính.
Tại Thanh Hóa, ngày 12/9, Công an địa phương đăng tải danh sách các trường hợp vi phạm quy định về tốc độ trên các tuyến Quốc lộ từ ngày 16/8 đến ngày 31/8. Trong tổng số 298 trường hợp, cơ quan Công an phát hiện 47 trường hợp xe ô tô mang biển kiểm soát Hà Nội vi phạm.
Trên tuyến Quốc lộ 1, 10 trường hợp xe vi phạm mang biển Hà Nội như sau: 29H-697.97; 29H-983.72; 30A-290.79; 30F-453.44; 30F-881.26; 30L-536.88; 30V-6158; 30K-593.24; 30H-815.39; 30M-238.38.
Trên tuyến Quốc lộ 45, 37 trường hợp xe vi phạm mang biển Hà Nội như sau: 29B-185.85; 29K-225.19; 29G-009.56; 29H-545.23; 29K-124.32; 29A-255.09; 29E-365.92; 29E-377.61; 29K-283.15; 30L-341.75; 30H-263.79; 30H-119.36; 30B-137.90; 30H-906.60; 30H-976.52; 30K-695.99; 30M-1415; 30E-900.08; 30F-907.54; 30L-391.95; 30K-355.80; 30B-101.90; 30K-440.63; 30K-396.29; 30M-320.43; 30L-975.10; 30F-881.26; 30G-191.30; 30L-755.43; 30M-198.03; 30G-666.82; 30F-464.04; 30E-827.43; 30K-626.04; 30L-324.44 (2 lần); 30M-686.98.
Công an tỉnh Thanh Hóa cho biết, trong thời hạn 20 ngày kể từ ngày ra thông báo, thông tin vi phạm sẽ được đăng tải trên Trang thông tin điện tử của cục Cảnh sát Giao thông.
Trước ngày 1/10, chủ xe ô tô phải chuyển đổi tài khoản giao thông
Ngày 30/9/2024, Chính phủ ban hành Nghị định số 119/2024/NĐ-CP quy định về thanh toán điện tử giao thông đường bộ. Nghị định này quy định chi tiết về thanh toán điện tử giao thông đường bộ; tài khoản giao thông; thanh toán tiền sử dụng đường bộ trên đường cao tốc; cơ sở dữ liệu thanh toán điện tử giao thông đường bộ.
Khoản 4 Điều 31 Nghị định nêu rõ: Chủ phương tiện có nghĩa vụ phối hợp với nhà cung cấp dịch vụ thanh toán tiền sử dụng đường bộ thực hiện việc chuyển đổi tài khoản thu phí đã có theo Quyết định số 19/2020 của Thủ tướng Chính phủ sang tài khoản giao thông và thực hiện kết nối phương tiện thanh toán không dùng tiền mặt với tài khoản giao thông trước ngày 1/10/2025.
Như vậy, kể từ khi có hiệu lực, Nghị định 119 cho phép thời gian một năm (1/10/2024 đến 1/10/2025) để chủ phương tiện và nhà cung cấp dịch vụ thực hiện chuyển đổi tài khoản thu phí sang tài khoản giao thông kết nối phương tiện thanh toán không dùng tiền mặt. Nếu không thực hiện, phương tiện sẽ không lưu thông được qua trạm thu phí.
Nguyệt Lượng
