Mới đây, Phòng Cảnh sát giao thông (CSGT), Công an tỉnh Bắc Ninh thông báo danh sách các phương tiện vi phạm bị phạt nguội từ ngày 02 - 09/11/2025. Theo danh sách, có tổng số 395 trường hợp vi phạm, trong đó có 331 ô tô và 64 mô tô (xe máy).
Danh sách cụ thể như sau:
Ô tô: 331 trường hợp
43 trường hợp ô tô không chấp hành hiệu lệnh của đèn tín hiệu giao thông:
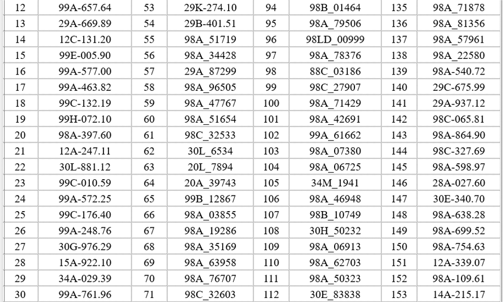
166 trường hợp ô tô không chấp hành hiệu lệnh, chỉ dẫn của vạch kẻ đường:
88 trường hợp ô tô điều khiển xe chạy quá tốc độ quy định:
22 trường hợp ô tô rẽ trái tại nơi có biển cấm:
10 trường hợp ô tô dừng xe dưới gầm cầu vượt:
02 trường hợp quay đầu xe ở phần đường dành cho người đi bộ qua đường: 99A-888.77; 30H-030.93.
Xe máy: 64 trường hợp
15 trường hợp mô tô (xe máy) không chấp hành hiệu lệnh của đèn tín hiệu giao thông:
49 trường hợp mô tô (xe máy) chạy quá tốc độ quy định:
Để tra cứu phương tiện vi phạm, người dân có thể truy cập vào đường link sau đây và thực hiện theo hướng dẫn: https:www.csgt.vn/tra-cuu-phuong-tien-vi-phạm.html; hoặc có thể tra cứu vi phạm phạt “nguội” thông qua ứng dụng VneTraffic.
Theo: Cổng Thông tin điện tử tỉnh Bắc Ninh , Phòng CSGT Công an tỉnh Bắc Ninh
Mini
